Latest Innovations
1,2-Oxaborines: Unlocking Molecular Core Diversity for Drug Discovery
07 November 2025
3-Amino-4-methylphenylboronic Acid
3-Chlorophenylboronic acid
(4-Chlorophenyl)boronic acid
4-Fluorophenylboronic acid
2,5-Dichlorophenylboronic acid
2-Chloro-5-fluorobenzeneboronic acid
(2-Ethynylphenyl)boronic acid
4-Ethynylaniline
(3-Iodophenyl)boronic acid
(2-Fluoro-5-hydroxyphenyl)boronic acid
Recently, Professor Guangbin Dong and his team at the University of Chicago have reported a conceptually different approach in Nature Chemistry that allows rapid access to diverse core structures from a common intermediate using 1,2-oxaborines as a versatile molecular platform. A soft enolization/6π-electrocyclization strategy has been developed to synthesize 1,2-oxaborines from readily available enones or enals efficiently. Taking advantage of their multifaceted reactivities, 1,2-oxaborines can undergo further C−H functionalization and be transformed into a diverse range of arenes, heteroarenes and non-aromatic heterocycles. The corresponding key reagents and building blocks are now in stock at AmBeed, and we hope this advancement inspires your ongoing work.
Key Highlights
1. Scope of substrates: α,β-unsaturated aldehydes and ketones, irrespective of their E/Z olefin geometry, as well as unconjugated enones, all reacted well.
2. C–H functionalization of 1,2-oxaborines: further C–H functionalization, including C6-borylation and C3-bromination of 1,2-oxaborines can be achieved, providing handles for subsequent cross-coupling reactions to install diverse substituents.
3. Core diversification strategies: 1,2-oxaborines can be transformed into a wide range of ring systems—including arenes, pyridones, furans, and pyrroles—and also afford valuable scaffolds such as α-pyrones, offering exceptional structural diversity and synthetic flexibility.
Introduction
Cyclic structures are ubiquitous in biologically active molecules such as pharmaceuticals and agrochemicals, where they typically serve as core scaffolds. Modifying the ring systems of lead compounds is a routine tactic in medicinal-chemistry structure-activity relationship studies and lead optimization, as it can markedly alter potency, physicochemical properties, and overall pharmacological profiles. Given that cores of bioactive compounds are generally introduced at an early stage of the synthesis, it is challenging to devise divergent routes to access analogues with different central structures. Conventionally, they were prepared through individual de novo routes, which are labour-intensive and time-consuming. Meanwhile, the emerging skeletal editing methods can elegantly realize late-stage A → B type conversions of one aromatic core to another, although it remains non-trivial to diversify core structures at this stage
Reaction design and discovery
In contrast to 1,2-azaborines—relatively robust aromatic benzene bioisosteres—their oxygen counterparts, 1,2-oxaborines, have received scarce attention (Fig. 1c). No general route to monocyclic 1,2-oxaborines has been reported to date, and the limited computational and experimental data available indicate that they possess stronger diene character and diminished aromaticity relative to 1,2-azaborines. This unique structure, which merges enolate, conjugated diene, organoborane and arene-like features, offers exceptional potential for diverse transformations. Here we describe a general and efficient protocol for assembling multiply substituted 1,2-oxaborines from readily accessible enones or enals, and we exploit these heterocycles as a versatile platform to access a broad array of arenes, heteroarenes and saturated heterocycles (Fig. 1d).
Figure 1. Core diversification using 1,2-oxaborines as a versatile platform. [from Nature Chemistry]
The strategy for constructing 1,2-oxaborines described herein was inspired by mechanistic studies from their earlier synthesis of 1,2-azaborines from cyclopropyl imines. In which the 1,2-azaborine core was constructed through a 6π-electrocyclization of an in situ generated boron-coordinated conjugated enamine. Given that α,β- or β,γ-unsaturated ketones can isomerize to the corresponding dienolates under soft enolization conditions, they reasoned that diverse 1,2-oxaborines could be readily accessed from readily available enones in the presence of a dibromoborane and a base (Fig. 2a). Specifically, activation of the enone by the boron Lewis acid, followed by base-mediated deprotonation, generates the corresponding boron dienolate. This intermediate undergoes a BO-6π-electrocyclization to form a cyclic borylated oxonium, which is then converted in situ into the 1,2-oxaborine upon elimination of HBr.
Figure 2. Reaction design and discovery. [from Nature Chemistry]
Substrate scope
For ketone substrates, using DBU as the base in a toluene/1,2-dichloroethane mixed solvent at 120 °C affords near-quantitative yields. For aldehyde substrates, switching to 2,3-lutidine as the base likewise enables highly efficient conversion. α,β-Unsaturated aldehydes and ketones, unconjugated enones, and both E and Z olefin geometries all reacted well. The scope is broad, delivering mono-, di-, tri-, tetra- and penta-substituted 1,2-oxaborines. Functional groups such as trifluoromethyl (–CF₃), nitro (–NO₂) and halogens (–Cl, –Br), as well as naphthyl and thienyl substituents, are well tolerated. The method further accommodates complex substrates derived from natural products (e.g., lithocholic and oleanolic acids). A variety of aryl- and alkyl-substituted dibromoboranes also serve as effective coupling partners, allowing diversified boron substituents in the products (Fig. 3).
Figure 3. Substrate scope of 1,2-oxaborines. [from Nature Chemistry]
C–H functionalization of 1,2-oxaborines
Similar to 1,2-azaborines, 1,2-oxaborines can also undergo further C–H functionalization (Fig. 4). Using oxaborine 3da as the starting material, C–H borylation occurs site-selectively at the C6 position. The resulting boronate can be converted into interesting bis-oxaborines via copper-mediated oxidative coupling. In addition, bromination took place at the C3 position, providing a handle for installing other functional groups—such as phenyl or trimethylsilyl—through subsequent cross-coupling reactions (e.g., Suzuki or Sonogashira coupling), thereby furnishing C3-functionalized 1,2-oxaborines.
Figure 4. Functionalization of 1,2-oxaborines. [from Nature Chemistry]
Core diversification strategies
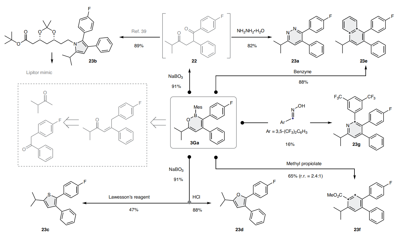
Owing to their unique structural features, 1,2-oxaborines can be diversely converted into a variety of ring systems (Fig. 5). For arenes and pyridines, the embedded 1,3-diene moiety undergoes a Diels–Alder reaction with alkynes, followed by a retro-Diels–Alder extrusion of arylboroxines to deliver tetra- to hexa-substituted benzene derivatives; analogous sequences afford highly substituted pyridines. Other heterocyclic scaffolds are accessed by oxidative C–B cleavage to give 1,4-diketones, versatile intermediates for pyrroles, thiophenes, furans and pyridazines; a one-step, iodination-mediated protocol directly furnishes furans, whereas Pd-catalyzed carbonylation under CO delivers α-pyrones. Saturated heterocycles are obtained by Pd/C-catalyzed hydrogenation to furnish the saturated boron-doped ring, which after oxidation and substitution is converted into five-membered tetrahydrofurans and pyrrolidines. Finally, late-stage diversification of Lipitor-substituted 1,2-oxaborines enables rapid access to analogues bearing distinct core skeletons (Fig. 6).
Figure 5. General demonstration of core diversification from 1,2-oxaborines. [from Nature Chemistry]
Figure 6. Core diversification of analogues that contain Lipitor substituents. [from Nature Chemistry]
Conclusion
In summary, this work has established a simple and general route to 1,2-oxaborines and demonstrated that their multifaceted reactivity renders them a versatile platform for accessing a broad array of aromatic and non-aromatic core structures. The strategy is expected to simplify the synthesis of analogues with diverse scaffolds, thereby accelerating structure–activity relationship studies and lead optimization. Besides its impact on medicinal chemistry, the fundamental reactivities uncovered here will also expand our understanding of these unusual boron-containing heterocycles.
AmBeed's Building Blocks Support Related Research:
AmBeed supplies a complete range of high-purity building blocks and reagents for the synthetic route described above—including the bases (DBU and 2,3-lutidine) and related building blocks—fully meeting your experimental needs and powering your research forward.
Click the image to find out more
Product Information
A289271|A669250|A175557|A973831|A697547|A294211|A209089|A245615|A154389|A303448
References
[1]Ge, Y., Zhu, Q., Zhu, Y., et al. Core diversification using 1,2-oxaborines as a versatile molecular platform. Nat. Chem. 2025.
