Latest Innovations
Photocatalytic Oxygen-Atom Transmutation in Oxetanes
29 October 2025
1-(Oxetan-3-yl)piperazine
Ethyl 2-(oxetan-3-ylidene)acetate
4,4,5,5-Tetramethyl-2-(oxetan-3-yl)-1,3,2-dioxaborolane
Potassium trifluoro(oxetan-3-yl)borate
2-(Oxetan-3-yl)acetic acid
2-Oxa-6-azaspiro[3.4]octane oxalate
Diphenylmethanamine
1-[2-[5-[(3-Methyl-3-oxetanyl)methoxy]-1-benzimidazolyl]-8-quinolyl]-4-piperidinamine
Tris(2,2-bipyridyl)ruthenium(II) chloride hexahydrate
2-Methyloxetane-2-carboxylic acid
Recently, the research group of Ph.D. Ming Joo Koh at the National University of Singapore, in collaboration with Dr. Xinglong Zhang at the Chinese University of Hong Kong, published a paper in Nature entitled "Photocatalytic oxygen-atom transmutation of oxetanes"[1]. This work achieves a breakthrough in oxygen-atom replacement of oxetanes. Their developed photocatalytic strategy selectively substitutes the endocyclic oxygen atom, transforming it in a single step into diverse nitrogen-, sulfur-, or carbon-bridged four-membered and five-membered saturated cyclic systems. The mechanism involves a photocatalytic ring-opening process that forms a dihalide intermediate, followed by nucleophile-mediated ring closure to complete the "atom transmutation"(Fig. 1b). This method exhibits excellent functional group compatibility and chemoselectivity, is applicable for late-stage modification of complex bioactive molecules, and provides a more straightforward route for the synthesis of pharmaceuticals and their analogues.
Background
Four-membered saturated cyclic molecules such as azetidines, thietanes and cyclobutanes have garnered increasing attention in medicinal chemistry. These molecules often possess physicochemical properties relevant to drug discovery: potency, stability, metabolic stability and target specificity. However, the conventional retrosynthesis of four-membered cyclic compounds largely relies on multi-step cycloaddition or nucleophilic substitution reactions, which are often step-intensive, inefficient, and generate significant waste (Fig. 1a). The development of a method that enables direct replacement of the oxygen atom in readily accessible oxetanes with nitrogen, sulfur, or carbon moieties thus holds substantial synthetic value and application potential, particularly as a powerful tool for late-stage functionalization and structural diversification of drug-like molecules.
Fig. 1 | Synthetic logic based on atomic replacement of oxygen in oxetanes. [From Nature]
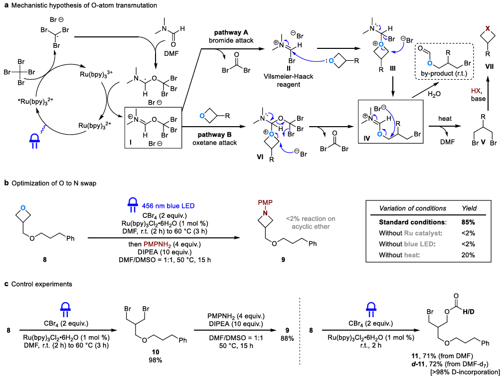
Mechanistic Hypothesis and Studies
Through DFT calculations and mechanistic experiments, the authors proposed a catalytic cycle involving four key steps and elucidated the origin of selectivity (Fig. 2a):
i) Photocatalytic Initiation: The photoexcited Ru catalyst transfers an electron to CBr₄, generating the ·CBr₃ radical and Ru(III).
ii) Key Reagent Generation: The ·CBr₃ radical reacts with the solvent DMF to form intermediate I, which is subsequently oxidized by Ru(III), efficiently generating the crucial electrophile – the Vilsmeier-Haack reagent (II). DFT calculations indicate this step has a very low activation barrier and is highly exergonic, ensuring efficient reaction initiation.
iii) Ring Deconstruction: Reagent II reacts with the oxetane, triggering ring-opening and ultimately leading to the linear dibromide intermediate (V). This step releases ring strain, which is a key driving force for the reaction.
iv) Ring Reconstruction: The dibromide intermediate V undergoes double nucleophilic substitution in the presence of nucleophiles (e.g., amines, thiols), leading to re-cyclization and completion of the oxygen-atom transmutation.
After condition screening, the optimal conditions were established as follows: using Ru(bpy)₃Cl₂·6H₂O (1 mol%) as the photocatalyst, CBr₄ (2 equiv.) as the bromine source and electron acceptor, in DMF solvent under irradiation with 456 nm blue LEDs and heating, followed by treatment with para-anisidine/Hünig's base at 50 °C. This one-pot procedure successfully afforded azetidine 9 in 85% yield.
Fig. 2 | Mechanistic hypothesis and studies. [From Nature]
Substrate scope
In the O→N transmutation reaction for synthesizing azetidines (Fig. 3), both 2- and 3-substituted oxetanes were successfully transformed, demonstrating excellent functional group tolerance towards groups such as arenes, thioethers, haloarenes (Cl/Br), esters, thiophene, phenol, and cyclic ethers (12–23). For substrates containing free aliphatic alcohols, competing bromination side reactions occurred, necessitating pre-protection. This strategy exhibited a broad scope concerning amine nucleophiles, with aromatic amines (31–33), alkylamines (34–37), and *p*-toluenesulfonamide 38 all participating efficiently in the reaction. Furthermore, the strategy demonstrated good generality and was successfully extended to larger ring systems and acyclic ethers: the five-membered tetrahydrofuran was converted to pyrrolidine 40, while the acyclic ether 41 yielded the tertiary amine 42 in 40% yield, proving that this atom-swapping strategy is not limited to four-membered ring systems.
Fig. 3 | Reaction scope of O-to-N swap. [From Nature]
Extension to other O-atom transmutations: This photocatalytic strategy extends far beyond O→N transmutation. Its broad applicability is demonstrated in O→S, O→C and dual-atom transmutation.
Fig. 4 | Extension to other O-atom transmutations. [From Nature]
Late-Stage Functionalization
Applicability with Complex Amines
The strategy successfully employed complex bioactive amines, such as aminoglutethimide and D-tryptophan methyl ester, as nucleophiles to efficiently generate the corresponding azetidine products (68, 69). This demonstrates its capability for linking complex pharmacophores.
Direct Drug Modification to Enhance Activity
Direct O→S atomic editing on a PDE4 inhibitor (70) yielded the thietane analog 71, which exhibited an IC₅₀ of 17 nM. This represents a threefold potency increase compared to the parent molecule (IC₅₀ = 52 nM).
Access to New Drug Candidates
The method successfully converted a Hepatitis B virus inhibitor (72) into its thio-analog 73, providing an efficient synthetic route to a potentially novel antiviral candidate molecule.
Synthesis of High-Value Drug Intermedials
The transformation of an oxetane into the 1,1-difluorocyclobutane bioisostere 7 exemplifies a route to access analogs with potentially improved metabolic stability.
Streamlined Synthesis of Drug Intermediates
• The synthesis of a key precursor for a respiratory syncytial virus inhibitor was achieved in a 5-step sequence (31% overall yield), representing a significant improvement in both efficiency and step-count over a previously reported 8-step route (<18% overall yield).
• The synthesis of the key CDK2 inhibitor precursor 2 was accomplished in just 4 steps, drastically shorter than the reported 12-step synthetic route. This streamlined process also avoided the use of explosive NaN₃, precious metal catalysts, and tedious protection/deprotection steps.
Fig. 5 Application to late-stage functionalization and complex molecule synthesis. [From Nature]
AmBeed's Products Support Related Research
Photocatalyst Ru(bpy)3Cl2·6H2O, oxetanes, and nitrogen/sulfur/carbon/dual-atom reagents were used in the above studies. At AmBeed, we offer a diverse catalog of high-purity reagents to support your research in this field:
Click to View Photoredox Catalysts Series ◀
References
[1]Zhang Y Q, Li S H, Zhang X, et al. Photocatalytic oxygen-atom transmutation of oxetanes[J]. Nature, 2025.
